最近の500hPaの推移
最近の850hPano推移
地上天気図
300hPa
500hPa
700hPa
850hPa
500hPa渦解析
700hPa上昇流・850hPa気温
赤外画像
雲頂強調画像
スタティック・エナジー & 水蒸気圧/気圧
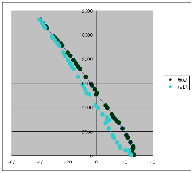
館野(速報値による)
水蒸気圧/気圧
気温・湿球温度
水蒸気圧
湿球温度は雪・雨判別に必要なものです
温位エマグラム https://tamatotora.blogspot.com/p/blog-page_27.html
湿球温度 https://tamatotora.blogspot.com/2020/01/blog-post.html
850hPa相当温位
(前日の予想図です)
08月05日21時イニシャルによる予想図
味美さんの地上予想
bassoさんのGSM
********************************
FEFE19
























0 件のコメント:
コメントを投稿